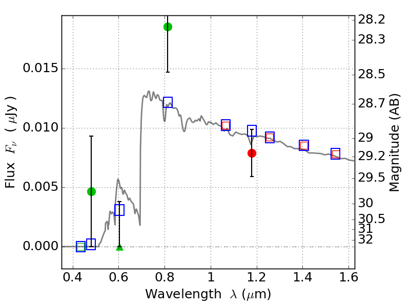
PLCKG287+32 IR detection object #2126

Color images and BPZ results
Catalog: 2126.cat
Black segments are analyzed here.   Roll mouse over color images to view segments.
Best viewed in a wide browser window (1200 pixels or more).   Download SED & P(z) plots to view larger versions.
In P(z) plots: Yellow lines mark the cluster redshift z = 0.390,  

Object #2126   x,y = (731, 2396)   RA, Dec = (11:50:59.400, -28:05:11.76) = (177.74750, -28.08660)   BPZ = 4.714 [0.209--5.117]   type = 11.00 (SB11_A_0_l)   stellarity = 0.29   chisq2 = 4.95   ODDS = 0.19   z_cluster = 0.390