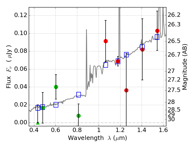
PLCKG287+32 IR detection object #2120

Color images and BPZ results
Catalog: 2120.cat
Black segments are analyzed here.   Roll mouse over color images to view segments.
Best viewed in a wide browser window (1200 pixels or more).   Download SED & P(z) plots to view larger versions.
In P(z) plots: Yellow lines mark the cluster redshift z = 0.390,  

Object #2120   x,y = (2351, 2387)   RA, Dec = (11:50:52.056, -28:05:12.12) = (177.71690, -28.08670)   BPZ = 1.376 [0.471--6.170]   type = 8.00 (SB1_B10)   stellarity = 0.00   chisq2 = 1.19   ODDS = 0.22   z_cluster = 0.390