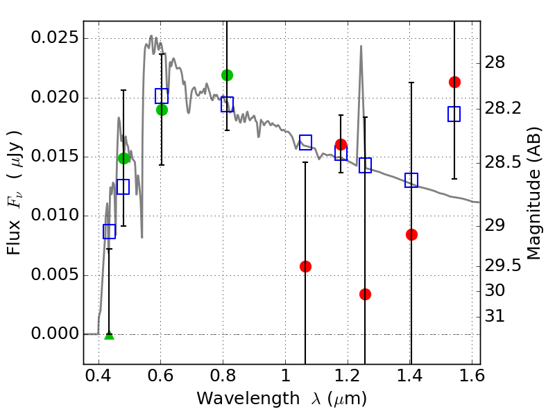
PLCKG287+32 IR detection object #2027

Color images and BPZ results
Catalog: 2027.cat
Black segments are analyzed here.   Roll mouse over color images to view segments.
Best viewed in a wide browser window (1200 pixels or more).   Download SED & P(z) plots to view larger versions.
In P(z) plots: Yellow lines mark the cluster redshift z = 0.390,  

Object #2027   x,y = (1864, 2468)   RA, Dec = (11:50:54.264, -28:05:07.44) = (177.72610, -28.08540)   BPZ = 3.453 [0.168--3.982]   type = 11.00 (SB11_A_0_l)   stellarity = 0.57   chisq2 = 0.68   ODDS = 0.28   z_cluster = 0.390