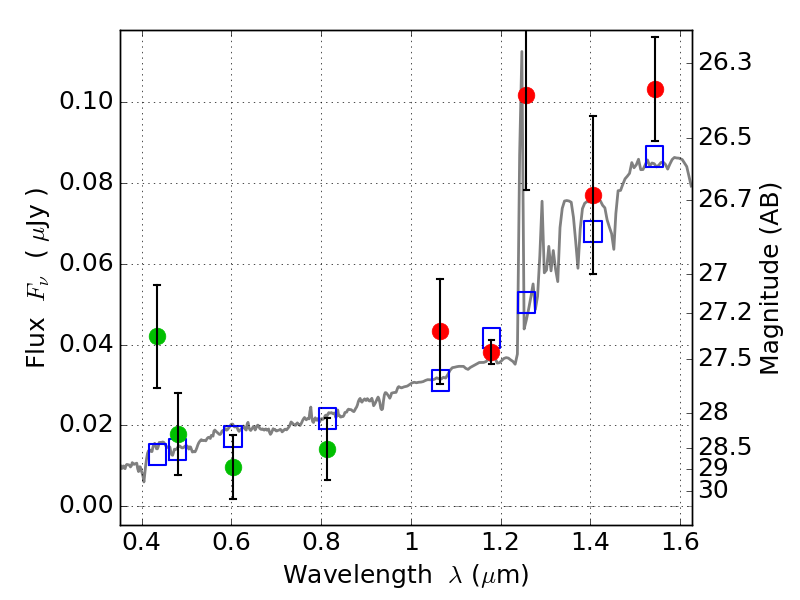
PLCKG287+32 IR detection object #1960

Color images and BPZ results
Catalog: 1960.cat
Black segments are analyzed here.   Roll mouse over color images to view segments.
Best viewed in a wide browser window (1200 pixels or more).   Download SED & P(z) plots to view larger versions.
In P(z) plots: Yellow lines mark the cluster redshift z = 0.390,  

Object #1960   x,y = (3012, 2503)   RA, Dec = (11:50:49.056, -28:05:05.28) = (177.70440, -28.08480)   BPZ = 2.344 [1.469--2.858]   type = 7.70 (SB1_B10 - Scd_B10)   stellarity = 0.73   chisq2 = 2.15   ODDS = 0.32   z_cluster = 0.390