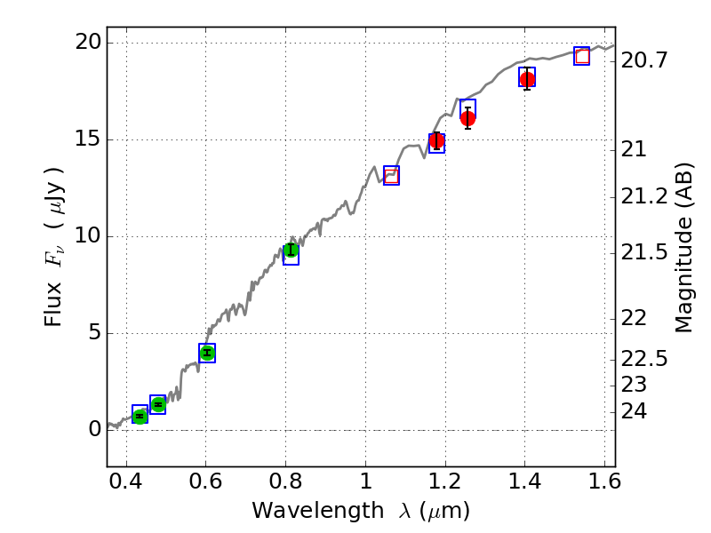
PLCKG287+32 IR detection object #1836

Color images and BPZ results
Catalog: 1836.cat
Black segments are analyzed here.   Roll mouse over color images to view segments.
Best viewed in a wide browser window (1200 pixels or more).   Download SED & P(z) plots to view larger versions.
In P(z) plots: Yellow lines mark the cluster redshift z = 0.390,  

Object #1836   x,y = (1504, 2483)   RA, Dec = (11:50:55.896, -28:05:06.36) = (177.73290, -28.08510)   BPZ = 0.349 [0.272--0.388]   type = 3.60 (Ell4_A_0 - Ell5_A_0)   stellarity = 0.03   chisq2 = 0.05   ODDS = 0.92   z_cluster = 0.390