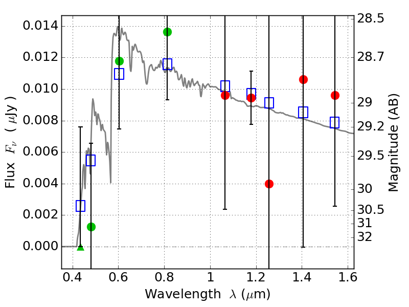
PLCKG287+32 IR detection object #1800

Color images and BPZ results
Catalog: 1800.cat
Black segments are analyzed here.   Roll mouse over color images to view segments.
Best viewed in a wide browser window (1200 pixels or more).   Download SED & P(z) plots to view larger versions.
In P(z) plots: Yellow lines mark the cluster redshift z = 0.390,  

Object #1800   x,y = (2025, 2609)   RA, Dec = (11:50:53.544, -28:04:58.80) = (177.72310, -28.08300)   BPZ = 3.673 [0.199--4.551]   type = 10.60 (SB11_A_0_l - SB3_B10)   stellarity = 0.33   chisq2 = 0.21   ODDS = 0.17   z_cluster = 0.390