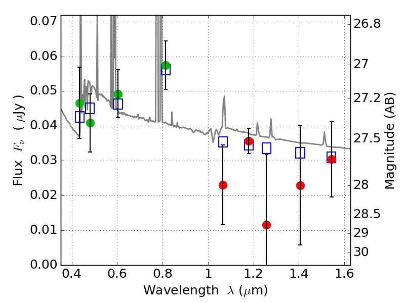
PLCKG287+32 IR detection object #1699

Color images and BPZ results
Catalog: 1699.cat
Black segments are analyzed here.   Roll mouse over color images to view segments.
Best viewed in a wide browser window (1200 pixels or more).   Download SED & P(z) plots to view larger versions.
In P(z) plots: Yellow lines mark the cluster redshift z = 0.390,  

Object #1699   x,y = (3752, 2675)   RA, Dec = (11:50:45.720, -28:04:54.84) = (177.69050, -28.08190)   BPZ = 0.184 [0.082--3.171]   type = 10.90 (SB11_A_0_l - SB3_B10)   stellarity = 0.10   chisq2 = 0.50   ODDS = 0.34   z_cluster = 0.390