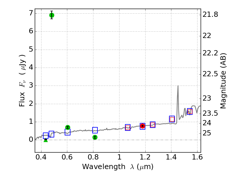
PLCKG287+32 IR detection object #165

Color images and BPZ results
Catalog: 165.cat
Black segments are analyzed here.   Roll mouse over color images to view segments.
Best viewed in a wide browser window (1200 pixels or more).   Download SED & P(z) plots to view larger versions.
In P(z) plots: Yellow lines mark the cluster redshift z = 0.390,  

Object #165   x,y = (3983, 3699)   RA, Dec = (11:50:44.664, -28:03:53.64) = (177.68610, -28.06490)   BPZ = 2.887 [1.922--2.972]   type = 7.90 (SB1_B10 - Scd_B10)   stellarity = 0.00   chisq2 = 405.79   ODDS = 0.73   z_cluster = 0.390