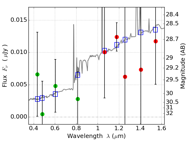
PLCKG287+32 IR detection object #1625

Color images and BPZ results
Catalog: 1625.cat
Black segments are analyzed here.   Roll mouse over color images to view segments.
Best viewed in a wide browser window (1200 pixels or more).   Download SED & P(z) plots to view larger versions.
In P(z) plots: Yellow lines mark the cluster redshift z = 0.390,  

Object #1625   x,y = (3864, 2731)   RA, Dec = (11:50:45.192, -28:04:51.60) = (177.68830, -28.08100)   BPZ = 1.078 [0.369--6.824]   type = 8.30 (SB1_B10 - SB2_B10)   stellarity = 0.47   chisq2 = 0.38   ODDS = 0.08   z_cluster = 0.390