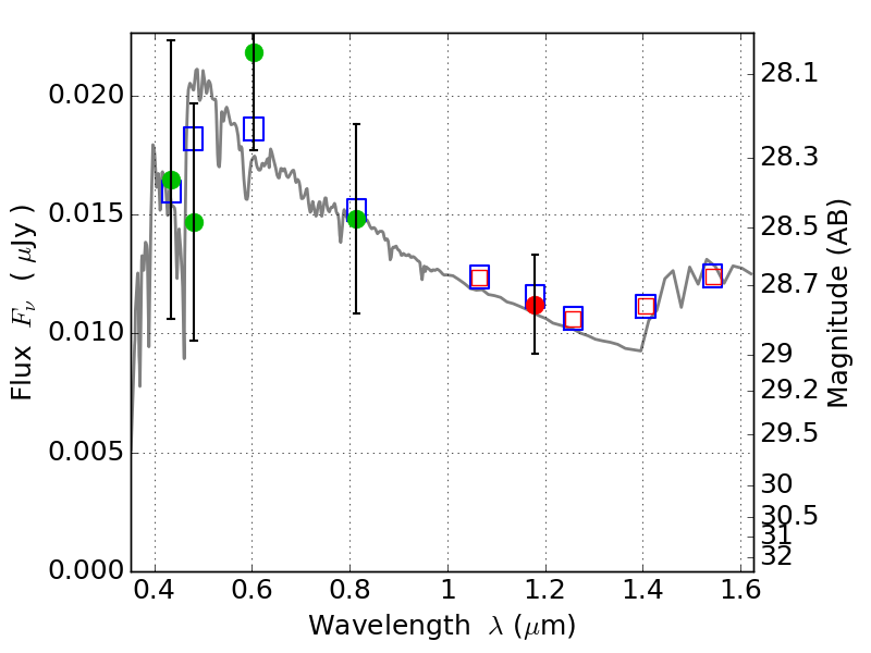
PLCKG287+32 IR detection object #1227

Color images and BPZ results
Catalog: 1227.cat
Black segments are analyzed here.   Roll mouse over color images to view segments.
Best viewed in a wide browser window (1200 pixels or more).   Download SED & P(z) plots to view larger versions.
In P(z) plots: Yellow lines mark the cluster redshift z = 0.390,  

Object #1227   x,y = (4388, 3009)   RA, Dec = (11:50:42.840, -28:04:35.04) = (177.67850, -28.07640)   BPZ = 2.802 [0.113--3.295]   type = 11.00 (SB11_A_0_l)   stellarity = 0.60   chisq2 = 0.53   ODDS = 0.24   z_cluster = 0.390