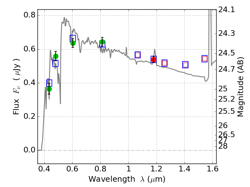
PLCKG287+32 IR detection object #1216

Color images and BPZ results
Catalog: 1216.cat
Black segments are analyzed here.   Roll mouse over color images to view segments.
Best viewed in a wide browser window (1200 pixels or more).   Download SED & P(z) plots to view larger versions.
In P(z) plots: Yellow lines mark the cluster redshift z = 0.390,  

Object #1216   x,y = (1163, 3004)   RA, Dec = (11:50:57.456, -28:04:35.04) = (177.73940, -28.07640)   BPZ = 3.242 [0.292--3.316]   type = 10.40 (SB3_B10 - SB11_A_0_l)   stellarity = 0.04   chisq2 = 0.70   ODDS = 0.71   z_cluster = 0.390