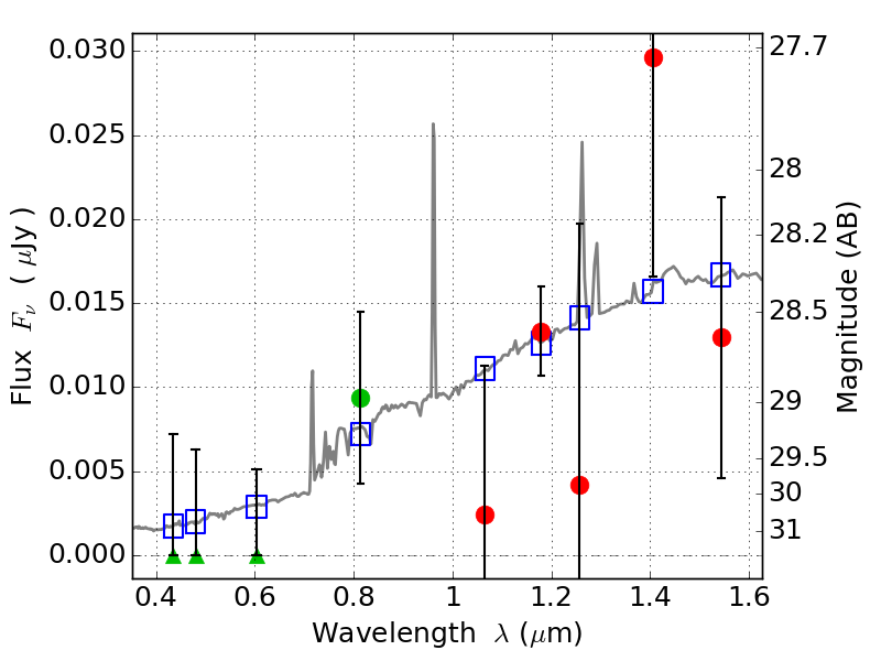
PLCKG287+32 IR detection object #1207

Color images and BPZ results
Catalog: 1207.cat
Black segments are analyzed here.   Roll mouse over color images to view segments.
Best viewed in a wide browser window (1200 pixels or more).   Download SED & P(z) plots to view larger versions.
In P(z) plots: Yellow lines mark the cluster redshift z = 0.390,  

Object #1207   x,y = (3236, 3021)   RA, Dec = (11:50:48.048, -28:04:34.32) = (177.70020, -28.07620)   BPZ = 0.917 [0.365--6.435]   type = 7.20 (Scd_B10 - SB1_B10)   stellarity = 0.00   chisq2 = 0.56   ODDS = 0.08   z_cluster = 0.390