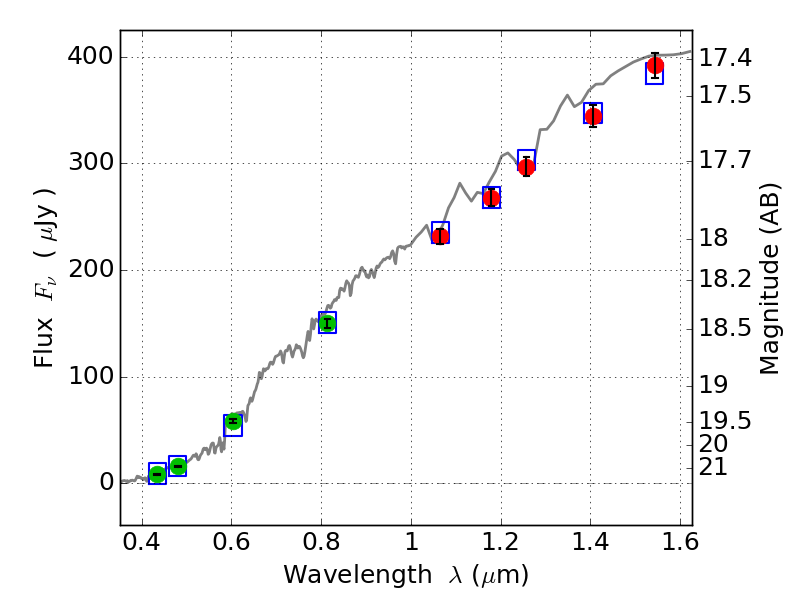
PLCKG287+32 IR detection object #1191

Color images and BPZ results
Catalog: 1191.cat
Black segments are analyzed here.   Roll mouse over color images to view segments.
Best viewed in a wide browser window (1200 pixels or more).   Download SED & P(z) plots to view larger versions.
In P(z) plots: Yellow lines mark the cluster redshift z = 0.390,  

Object #1191   x,y = (2491, 2780)   RA, Dec = (11:50:51.432, -28:04:48.72) = (177.71430, -28.08020)   BPZ = 0.474 [0.378--0.507]   type = 2.90 (Ell5_A_0 - Ell6_A_0)   stellarity = 0.03   chisq2 = 0.03   ODDS = 0.76   z_cluster = 0.390