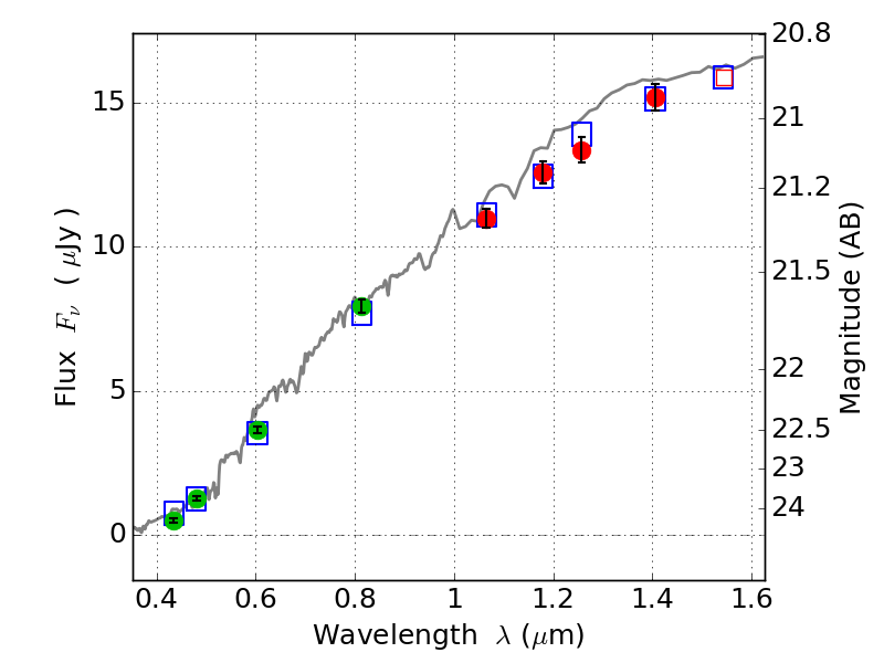
PLCKG287+32 IR detection object #1156

Color images and BPZ results
Catalog: 1156.cat
Black segments are analyzed here.   Roll mouse over color images to view segments.
Best viewed in a wide browser window (1200 pixels or more).   Download SED & P(z) plots to view larger versions.
In P(z) plots: Yellow lines mark the cluster redshift z = 0.390,  

Object #1156   x,y = (3380, 3028)   RA, Dec = (11:50:47.400, -28:04:33.96) = (177.69750, -28.07610)   BPZ = 0.320 [0.231--0.351]   type = 3.70 (Ell4_A_0 - Ell5_A_0)   stellarity = 0.03   chisq2 = 0.07   ODDS = 0.89   z_cluster = 0.390