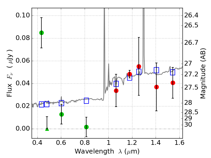
PLCKG287+32 IR detection object #1038

Color images and BPZ results
Catalog: 1038.cat
Black segments are analyzed here.   Roll mouse over color images to view segments.
Best viewed in a wide browser window (1200 pixels or more).   Download SED & P(z) plots to view larger versions.
In P(z) plots: Yellow lines mark the cluster redshift z = 0.390,  

Object #1038   x,y = (2639, 3114)   RA, Dec = (11:50:50.760, -28:04:28.56) = (177.71150, -28.07460)   BPZ = 1.590 [0.943--5.996]   type = 9.40 (SB2_B10 - SB3_B10)   stellarity = 0.00   chisq2 = 5.60   ODDS = 0.42   z_cluster = 0.390