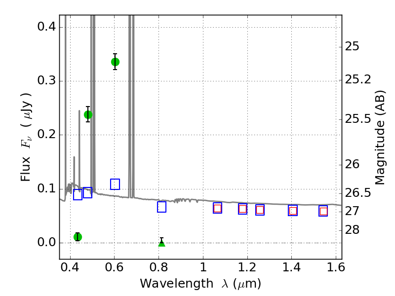
PLCKG287+32 ACS+IR detection object #6205

Color images and BPZ results
Catalog: 6205.cat
Black segments are analyzed here.   Roll mouse over color images to view segments.
Best viewed in a wide browser window (1200 pixels or more).   Download SED & P(z) plots to view larger versions.
In P(z) plots: Yellow lines mark the cluster redshift z = 0.390,  

Object #6205   x,y = (3517, 1192)   RA, Dec = (11:50:46.776, -28:06:23.76) = (177.69490, -28.10660)   BPZ = 0.019 [0.010--0.047]   type = 11.00 (SB11_A_0_l)   stellarity = 0.88   chisq2 = 362.69   ODDS = 0.98   z_cluster = 0.390