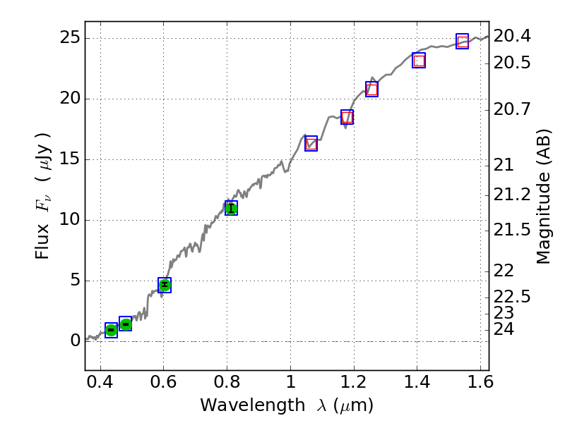
PLCKG287+32 ACS+IR detection object #6130

Color images and BPZ results
Catalog: 6130.cat
Black segments are analyzed here.   Roll mouse over color images to view segments.
Best viewed in a wide browser window (1200 pixels or more).   Download SED & P(z) plots to view larger versions.
In P(z) plots: Yellow lines mark the cluster redshift z = 0.390,  

Object #6130   x,y = (2642, 1233)   RA, Dec = (11:50:50.736, -28:06:21.60) = (177.71140, -28.10600)   BPZ = 0.379 [0.312--0.441]   type = 3.30 (Ell5_A_0 - Ell4_A_0)   stellarity = 0.03   chisq2 = 0.00   ODDS = 0.92   z_cluster = 0.390