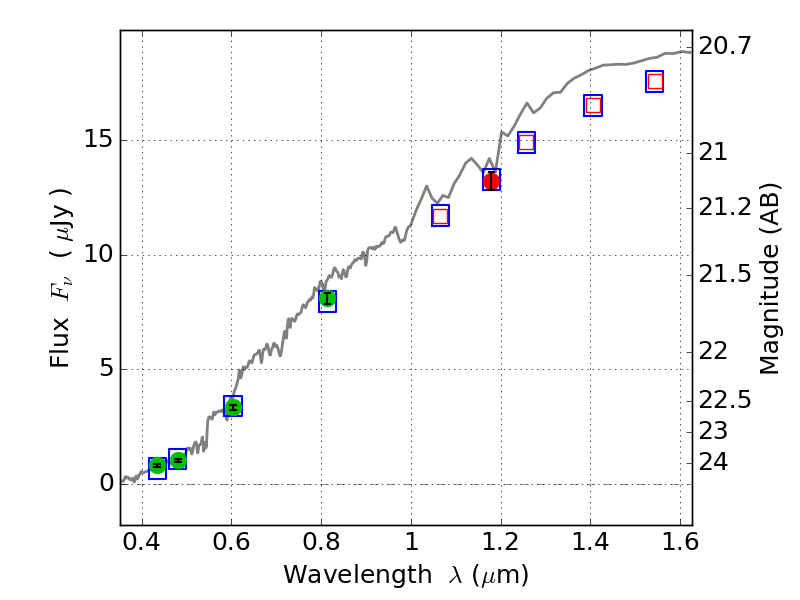
PLCKG287+32 ACS+IR detection object #5971

Color images and BPZ results
Catalog: 5971.cat
Black segments are analyzed here.   Roll mouse over color images to view segments.
Best viewed in a wide browser window (1200 pixels or more).   Download SED & P(z) plots to view larger versions.
In P(z) plots: Yellow lines mark the cluster redshift z = 0.390,  

Object #5971   x,y = (2233, 1292)   RA, Dec = (11:50:52.608, -28:06:18.00) = (177.71920, -28.10500)   BPZ = 0.367 [0.308--0.417]   type = 3.40 (Ell5_A_0 - Ell4_A_0)   stellarity = 0.03   chisq2 = 0.02   ODDS = 0.96   z_cluster = 0.390