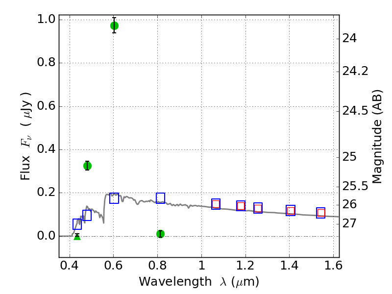
PLCKG287+32 ACS+IR detection object #5761

Color images and BPZ results
Catalog: 5761.cat
Black segments are analyzed here.   Roll mouse over color images to view segments.
Best viewed in a wide browser window (1200 pixels or more).   Download SED & P(z) plots to view larger versions.
In P(z) plots: Yellow lines mark the cluster redshift z = 0.390,  

Object #5761   x,y = (3864, 1485)   RA, Dec = (11:50:45.192, -28:06:06.48) = (177.68830, -28.10180)   BPZ = 3.576 [3.303--3.635]   type = 11.00 (SB11_A_0_l)   stellarity = 0.94   chisq2 = 666.36   ODDS = 0.84   z_cluster = 0.390