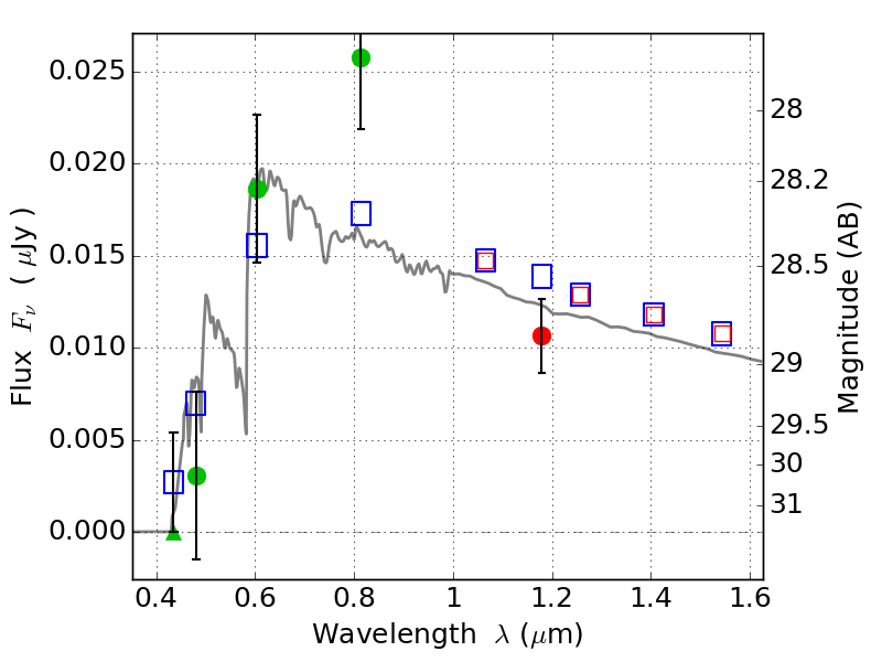
PLCKG287+32 ACS+IR detection object #5566

Color images and BPZ results
Catalog: 5566.cat
Black segments are analyzed here.   Roll mouse over color images to view segments.
Best viewed in a wide browser window (1200 pixels or more).   Download SED & P(z) plots to view larger versions.
In P(z) plots: Yellow lines mark the cluster redshift z = 0.390,  

Object #5566   x,y = (1637, 1617)   RA, Dec = (11:50:55.296, -28:05:58.56) = (177.73040, -28.09960)   BPZ = 3.786 [0.266--4.275]   type = 11.00 (SB11_A_0_l)   stellarity = 0.57   chisq2 = 3.86   ODDS = 0.52   z_cluster = 0.390