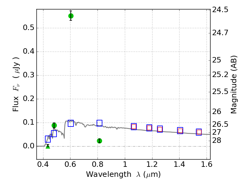
PLCKG287+32 ACS+IR detection object #5562

Color images and BPZ results
Catalog: 5562.cat
Black segments are analyzed here.   Roll mouse over color images to view segments.
Best viewed in a wide browser window (1200 pixels or more).   Download SED & P(z) plots to view larger versions.
In P(z) plots: Yellow lines mark the cluster redshift z = 0.390,  

Object #5562   x,y = (4021, 1617)   RA, Dec = (11:50:44.496, -28:05:58.56) = (177.68540, -28.09960)   BPZ = 3.585 [3.404--3.662]   type = 11.00 (SB11_A_0_l)   stellarity = 0.81   chisq2 = 549.35   ODDS = 0.98   z_cluster = 0.390