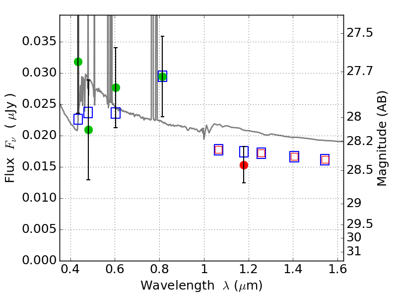
PLCKG287+32 ACS+IR detection object #5251

Color images and BPZ results
Catalog: 5251.cat
Black segments are analyzed here.   Roll mouse over color images to view segments.
Best viewed in a wide browser window (1200 pixels or more).   Download SED & P(z) plots to view larger versions.
In P(z) plots: Yellow lines mark the cluster redshift z = 0.390,  

Object #5251   x,y = (3425, 1876)   RA, Dec = (11:50:47.184, -28:05:43.08) = (177.69660, -28.09530)   BPZ = 0.170 [0.086--3.168]   type = 11.00 (SB11_A_0_l)   stellarity = 0.01   chisq2 = 1.00   ODDS = 0.07   z_cluster = 0.390