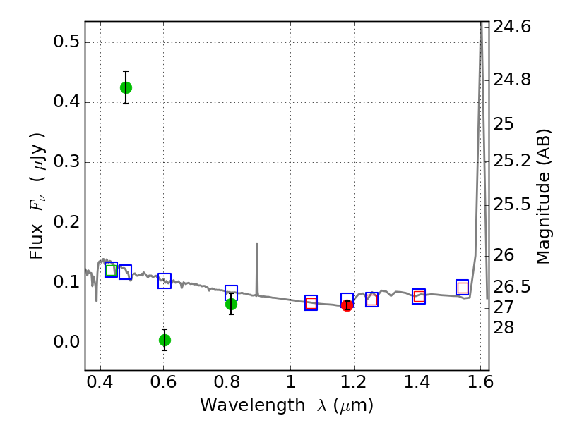
PLCKG287+32 ACS+IR detection object #4979

Color images and BPZ results
Catalog: 4979.cat
Black segments are analyzed here.   Roll mouse over color images to view segments.
Best viewed in a wide browser window (1200 pixels or more).   Download SED & P(z) plots to view larger versions.
In P(z) plots: Yellow lines mark the cluster redshift z = 0.390,  

Object #4979   x,y = (4685, 3019)   RA, Dec = (11:50:41.472, -28:04:34.32) = (177.67280, -28.07620)   BPZ = 2.204 [1.614--2.512]   type = 11.00 (SB11_A_0_l)   stellarity = 0.97   chisq2 = 147.99   ODDS = 0.55   z_cluster = 0.390