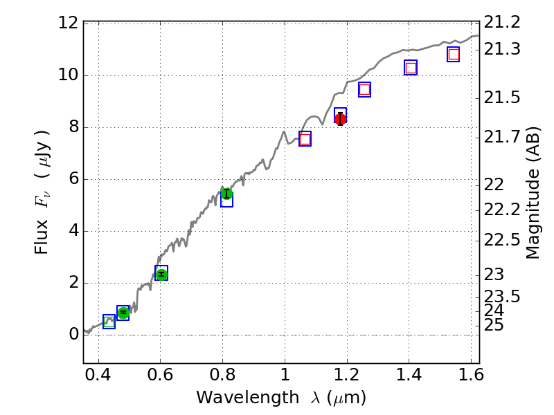
PLCKG287+32 ACS+IR detection object #4846

Color images and BPZ results
Catalog: 4846.cat
Black segments are analyzed here.   Roll mouse over color images to view segments.
Best viewed in a wide browser window (1200 pixels or more).   Download SED & P(z) plots to view larger versions.
In P(z) plots: Yellow lines mark the cluster redshift z = 0.390,  

Object #4846   x,y = (4174, 2138)   RA, Dec = (11:50:43.800, -28:05:27.24) = (177.68250, -28.09090)   BPZ = 0.318 [0.249--0.357]   type = 3.60 (Ell4_A_0 - Ell5_A_0)   stellarity = 0.03   chisq2 = 0.13   ODDS = 0.92   z_cluster = 0.390