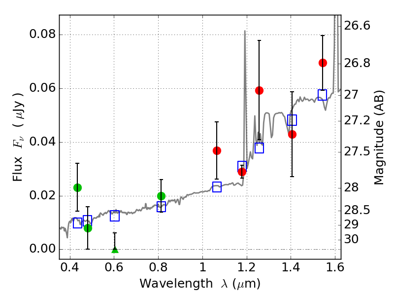
PLCKG287+32 ACS+IR detection object #4516

Color images and BPZ results
Catalog: 4516.cat
Black segments are analyzed here.   Roll mouse over color images to view segments.
Best viewed in a wide browser window (1200 pixels or more).   Download SED & P(z) plots to view larger versions.
In P(z) plots: Yellow lines mark the cluster redshift z = 0.390,  

Object #4516   x,y = (2355, 2307)   RA, Dec = (11:50:52.032, -28:05:17.16) = (177.71680, -28.08810)   BPZ = 2.196 [0.584--3.041]   type = 7.90 (SB1_B10 - Scd_B10)   stellarity = 0.53   chisq2 = 1.58   ODDS = 0.16   z_cluster = 0.390