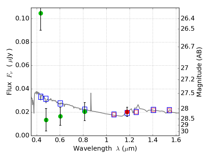
PLCKG287+32 ACS+IR detection object #4476

Color images and BPZ results
Catalog: 4476.cat
Black segments are analyzed here.   Roll mouse over color images to view segments.
Best viewed in a wide browser window (1200 pixels or more).   Download SED & P(z) plots to view larger versions.
In P(z) plots: Yellow lines mark the cluster redshift z = 0.390,  

Object #4476   x,y = (4107, 2341)   RA, Dec = (11:50:44.112, -28:05:15.00) = (177.68380, -28.08750)   BPZ = 2.097 [0.590--2.674]   type = 11.00 (SB11_A_0_l)   stellarity = 0.02   chisq2 = 14.23   ODDS = 0.20   z_cluster = 0.390