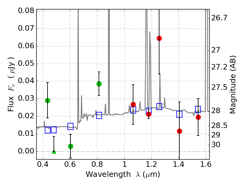
PLCKG287+32 ACS+IR detection object #4342

Color images and BPZ results
Catalog: 4342.cat
Black segments are analyzed here.   Roll mouse over color images to view segments.
Best viewed in a wide browser window (1200 pixels or more).   Download SED & P(z) plots to view larger versions.
In P(z) plots: Yellow lines mark the cluster redshift z = 0.390,  

Object #4342   x,y = (2627, 2377)   RA, Dec = (11:50:50.808, -28:05:12.84) = (177.71170, -28.08690)   BPZ = 0.767 [0.214--5.049]   type = 9.80 (SB3_B10 - SB2_B10)   stellarity = 0.58   chisq2 = 3.09   ODDS = 0.13   z_cluster = 0.390