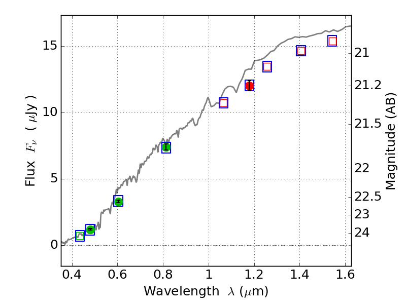
PLCKG287+32 ACS+IR detection object #4170

Color images and BPZ results
Catalog: 4170.cat
Black segments are analyzed here.   Roll mouse over color images to view segments.
Best viewed in a wide browser window (1200 pixels or more).   Download SED & P(z) plots to view larger versions.
In P(z) plots: Yellow lines mark the cluster redshift z = 0.390,  

Object #4170   x,y = (4321, 2440)   RA, Dec = (11:50:43.128, -28:05:08.88) = (177.67970, -28.08580)   BPZ = 0.316 [0.241--0.393]   type = 3.30 (Ell5_A_0 - Ell4_A_0)   stellarity = 0.03   chisq2 = 0.01   ODDS = 0.85   z_cluster = 0.390