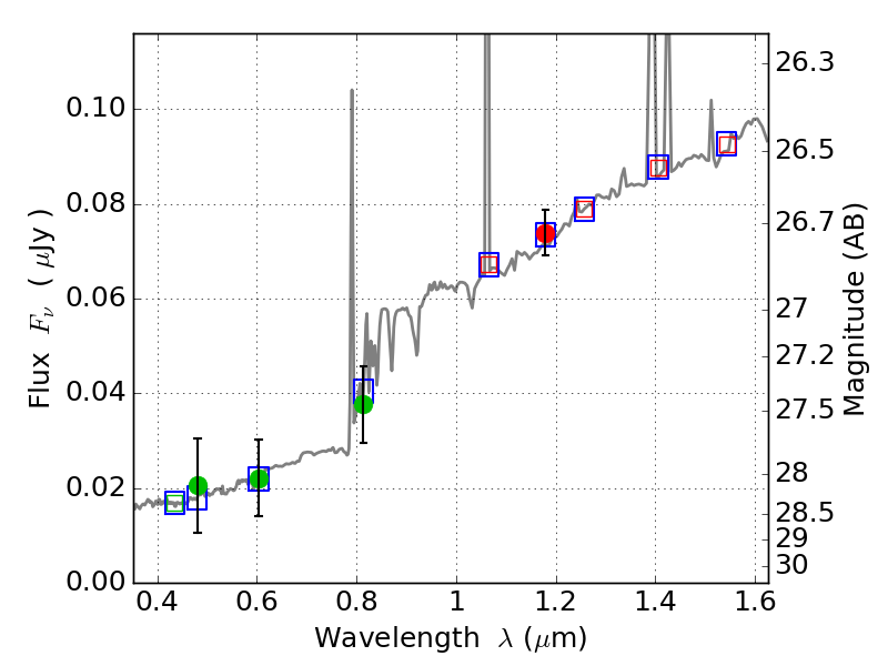
PLCKG287+32 ACS+IR detection object #4026

Color images and BPZ results
Catalog: 4026.cat
Black segments are analyzed here.   Roll mouse over color images to view segments.
Best viewed in a wide browser window (1200 pixels or more).   Download SED & P(z) plots to view larger versions.
In P(z) plots: Yellow lines mark the cluster redshift z = 0.390,  

Object #4026   x,y = (787, 2532)   RA, Dec = (11:50:59.160, -28:05:03.48) = (177.74650, -28.08430)   BPZ = 1.120 [0.370--2.459]   type = 8.10 (SB1_B10 - SB2_B10)   stellarity = 0.01   chisq2 = 0.13   ODDS = 0.14   z_cluster = 0.390