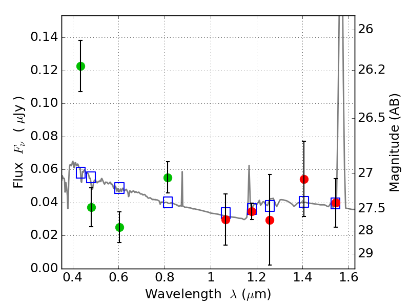
PLCKG287+32 ACS+IR detection object #3979

Color images and BPZ results
Catalog: 3979.cat
Black segments are analyzed here.   Roll mouse over color images to view segments.
Best viewed in a wide browser window (1200 pixels or more).   Download SED & P(z) plots to view larger versions.
In P(z) plots: Yellow lines mark the cluster redshift z = 0.390,  

Object #3979   x,y = (3498, 2550)   RA, Dec = (11:50:46.872, -28:05:02.40) = (177.69530, -28.08400)   BPZ = 2.135 [0.235--2.582]   type = 10.80 (SB11_A_0_l - SB3_B10)   stellarity = 0.09   chisq2 = 4.46   ODDS = 0.29   z_cluster = 0.390