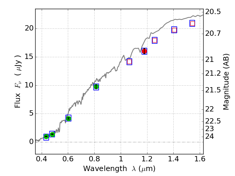
PLCKG287+32 ACS+IR detection object #3949

Color images and BPZ results
Catalog: 3949.cat
Black segments are analyzed here.   Roll mouse over color images to view segments.
Best viewed in a wide browser window (1200 pixels or more).   Download SED & P(z) plots to view larger versions.
In P(z) plots: Yellow lines mark the cluster redshift z = 0.390,  

Object #3949   x,y = (1153, 2518)   RA, Dec = (11:50:57.504, -28:05:04.20) = (177.73960, -28.08450)   BPZ = 0.352 [0.282--0.396]   type = 3.50 (Ell4_A_0 - Ell5_A_0)   stellarity = 0.03   chisq2 = 0.01   ODDS = 0.93   z_cluster = 0.390