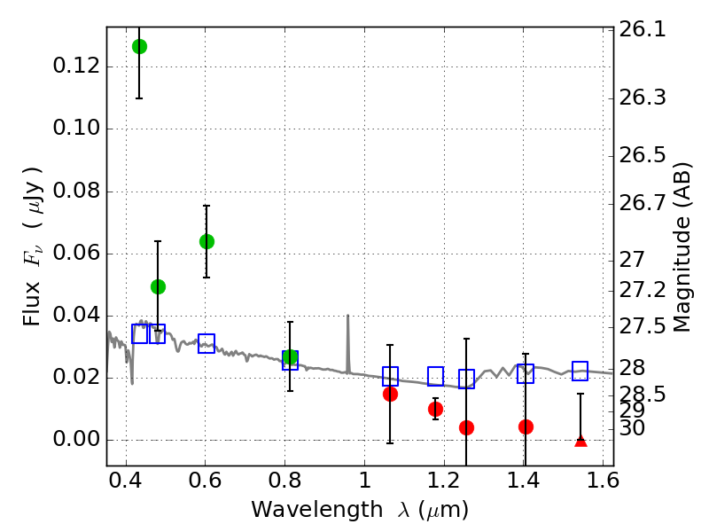
PLCKG287+32 ACS+IR detection object #3725

Color images and BPZ results
Catalog: 3725.cat
Black segments are analyzed here.   Roll mouse over color images to view segments.
Best viewed in a wide browser window (1200 pixels or more).   Download SED & P(z) plots to view larger versions.
In P(z) plots: Yellow lines mark the cluster redshift z = 0.390,  

Object #3725   x,y = (2499, 2637)   RA, Dec = (11:50:51.384, -28:04:57.36) = (177.71410, -28.08260)   BPZ = 2.434 [0.066--2.846]   type = 11.00 (SB11_A_0_l)   stellarity = 0.00   chisq2 = 7.95   ODDS = 0.40   z_cluster = 0.390