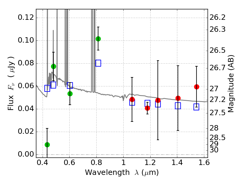
PLCKG287+32 ACS+IR detection object #3496

Color images and BPZ results
Catalog: 3496.cat
Black segments are analyzed here.   Roll mouse over color images to view segments.
Best viewed in a wide browser window (1200 pixels or more).   Download SED & P(z) plots to view larger versions.
In P(z) plots: Yellow lines mark the cluster redshift z = 0.390,  

Object #3496   x,y = (3956, 2729)   RA, Dec = (11:50:44.784, -28:04:51.60) = (177.68660, -28.08100)   BPZ = 0.171 [0.095--3.037]   type = 11.00 (SB11_A_0_l)   stellarity = 0.01   chisq2 = 2.90   ODDS = 0.52   z_cluster = 0.390