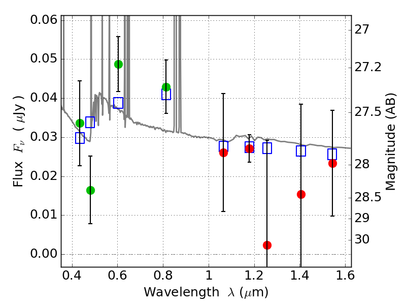
PLCKG287+32 ACS+IR detection object #3159

Color images and BPZ results
Catalog: 3159.cat
Black segments are analyzed here.   Roll mouse over color images to view segments.
Best viewed in a wide browser window (1200 pixels or more).   Download SED & P(z) plots to view larger versions.
In P(z) plots: Yellow lines mark the cluster redshift z = 0.390,  

Object #3159   x,y = (1328, 2991)   RA, Dec = (11:50:56.688, -28:04:36.12) = (177.73620, -28.07670)   BPZ = 0.304 [0.096--3.576]   type = 11.00 (SB11_A_0_l)   stellarity = 0.51   chisq2 = 1.12   ODDS = 0.19   z_cluster = 0.390