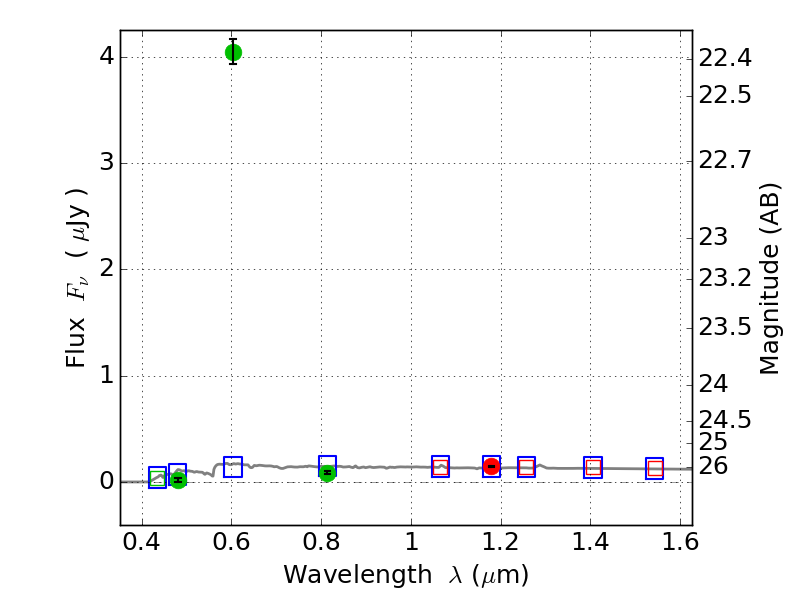
PLCKG287+32 ACS+IR detection object #2939

Color images and BPZ results
Catalog: 2939.cat
Black segments are analyzed here.   Roll mouse over color images to view segments.
Best viewed in a wide browser window (1200 pixels or more).   Download SED & P(z) plots to view larger versions.
In P(z) plots: Yellow lines mark the cluster redshift z = 0.390,  

Object #2939   x,y = (4594, 3094)   RA, Dec = (11:50:41.904, -28:04:30.00) = (177.67460, -28.07500)   BPZ = 3.603 [0.359--3.832]   type = 10.10 (SB3_B10 - SB11_A_0_l)   stellarity = 0.96   chisq2 = 1080.27   ODDS = 0.74   z_cluster = 0.390