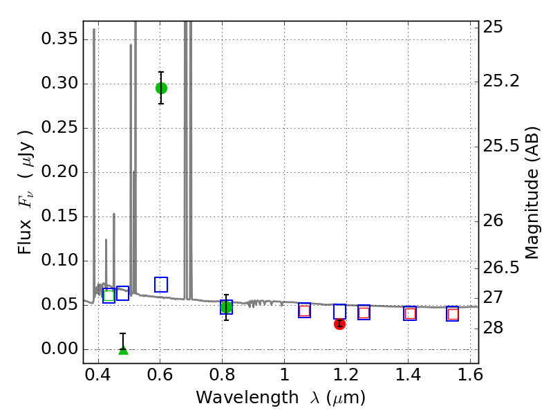
PLCKG287+32 ACS+IR detection object #2935

Color images and BPZ results
Catalog: 2935.cat
Black segments are analyzed here.   Roll mouse over color images to view segments.
Best viewed in a wide browser window (1200 pixels or more).   Download SED & P(z) plots to view larger versions.
In P(z) plots: Yellow lines mark the cluster redshift z = 0.390,  

Object #2935   x,y = (4577, 3090)   RA, Dec = (11:50:41.976, -28:04:30.00) = (177.67490, -28.07500)   BPZ = 0.040 [0.011--3.051]   type = 11.00 (SB11_A_0_l)   stellarity = 0.78   chisq2 = 163.09   ODDS = 0.77   z_cluster = 0.390