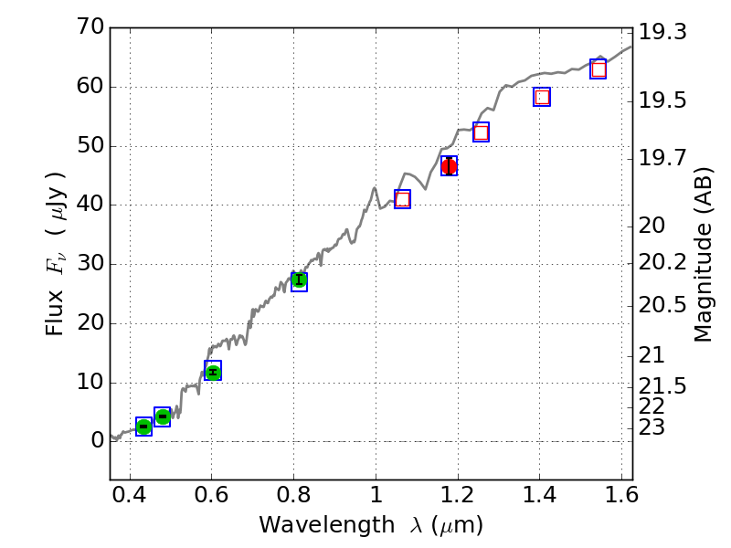
PLCKG287+32 ACS+IR detection object #2869

Color images and BPZ results
Catalog: 2869.cat
Black segments are analyzed here.   Roll mouse over color images to view segments.
Best viewed in a wide browser window (1200 pixels or more).   Download SED & P(z) plots to view larger versions.
In P(z) plots: Yellow lines mark the cluster redshift z = 0.390,  

Object #2869   x,y = (1223, 3084)   RA, Dec = (11:50:57.168, -28:04:30.36) = (177.73820, -28.07510)   BPZ = 0.317 [0.259--0.368]   type = 4.50 (ES0_B10 - Ell4_A_0)   stellarity = 0.03   chisq2 = 0.01   ODDS = 0.95   z_cluster = 0.390