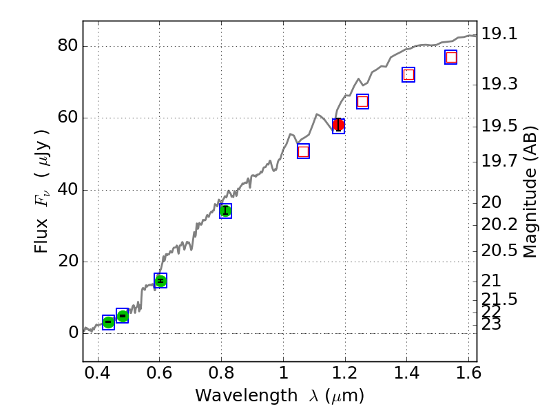
PLCKG287+32 ACS+IR detection object #2738

Color images and BPZ results
Catalog: 2738.cat
Black segments are analyzed here.   Roll mouse over color images to view segments.
Best viewed in a wide browser window (1200 pixels or more).   Download SED & P(z) plots to view larger versions.
In P(z) plots: Yellow lines mark the cluster redshift z = 0.390,  

Object #2738   x,y = (1509, 3220)   RA, Dec = (11:50:55.872, -28:04:22.44) = (177.73280, -28.07290)   BPZ = 0.357 [0.290--0.399]   type = 4.20 (Ell4_A_0 - ES0_B10)   stellarity = 0.03   chisq2 = 0.01   ODDS = 0.94   z_cluster = 0.390