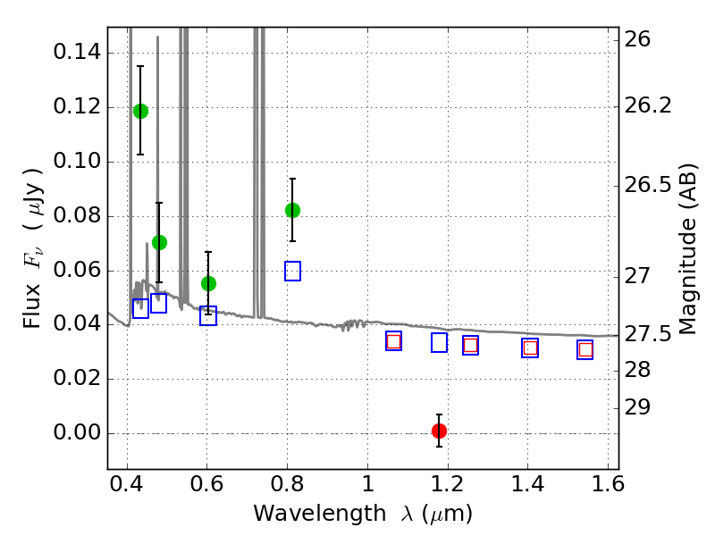
PLCKG287+32 ACS+IR detection object #2709

Color images and BPZ results
Catalog: 2709.cat
Black segments are analyzed here.   Roll mouse over color images to view segments.
Best viewed in a wide browser window (1200 pixels or more).   Download SED & P(z) plots to view larger versions.
In P(z) plots: Yellow lines mark the cluster redshift z = 0.390,  

Object #2709   x,y = (1643, 3370)   RA, Dec = (11:50:55.272, -28:04:13.44) = (177.73030, -28.07040)   BPZ = 0.104 [0.080--2.778]   type = 11.00 (SB11_A_0_l)   stellarity = 0.00   chisq2 = 23.17   ODDS = 0.21   z_cluster = 0.390