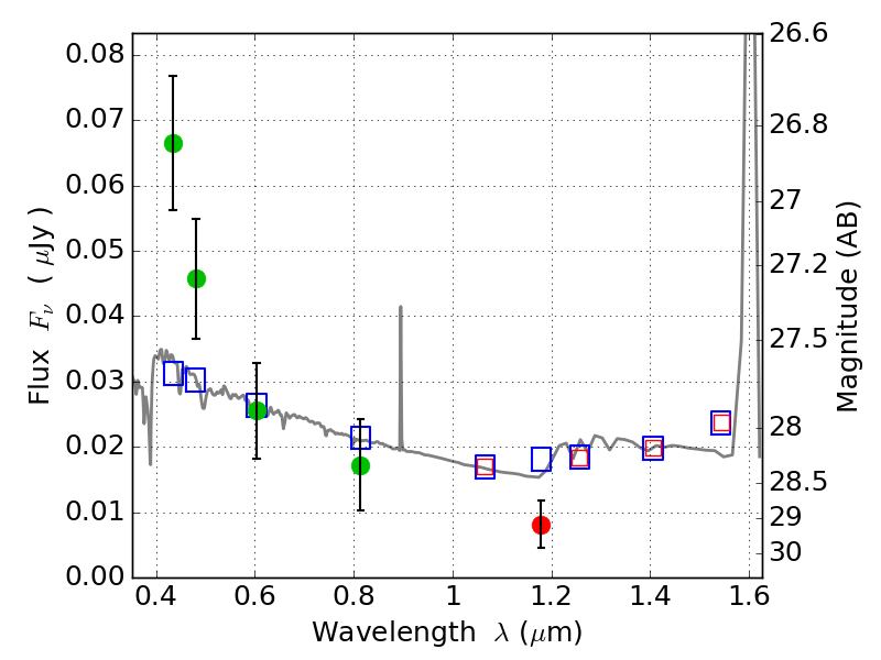
PLCKG287+32 ACS+IR detection object #2694

Color images and BPZ results
Catalog: 2694.cat
Black segments are analyzed here.   Roll mouse over color images to view segments.
Best viewed in a wide browser window (1200 pixels or more).   Download SED & P(z) plots to view larger versions.
In P(z) plots: Yellow lines mark the cluster redshift z = 0.390,  

Object #2694   x,y = (1536, 3263)   RA, Dec = (11:50:55.752, -28:04:19.56) = (177.73230, -28.07210)   BPZ = 2.204 [1.667--2.735]   type = 11.00 (SB11_A_0_l)   stellarity = 0.06   chisq2 = 10.03   ODDS = 0.39   z_cluster = 0.390