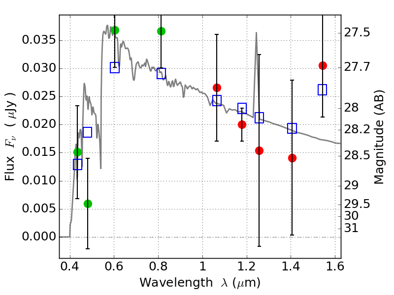
PLCKG287+32 ACS+IR detection object #2589

Color images and BPZ results
Catalog: 2589.cat
Black segments are analyzed here.   Roll mouse over color images to view segments.
Best viewed in a wide browser window (1200 pixels or more).   Download SED & P(z) plots to view larger versions.
In P(z) plots: Yellow lines mark the cluster redshift z = 0.390,  

Object #2589   x,y = (1914, 3367)   RA, Dec = (11:50:54.048, -28:04:13.44) = (177.72520, -28.07040)   BPZ = 3.455 [0.178--3.899]   type = 11.00 (SB11_A_0_l)   stellarity = 0.33   chisq2 = 0.95   ODDS = 0.45   z_cluster = 0.390