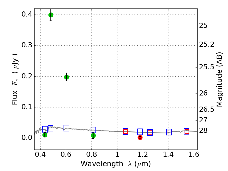
PLCKG287+32 ACS+IR detection object #2580

Color images and BPZ results
Catalog: 2580.cat
Black segments are analyzed here.   Roll mouse over color images to view segments.
Best viewed in a wide browser window (1200 pixels or more).   Download SED & P(z) plots to view larger versions.
In P(z) plots: Yellow lines mark the cluster redshift z = 0.390,  

Object #2580   x,y = (4359, 3325)   RA, Dec = (11:50:42.960, -28:04:15.96) = (177.67900, -28.07110)   BPZ = 2.767 [0.028--2.920]   type = 11.00 (SB11_A_0_l)   stellarity = 0.78   chisq2 = 275.45   ODDS = 0.67   z_cluster = 0.390