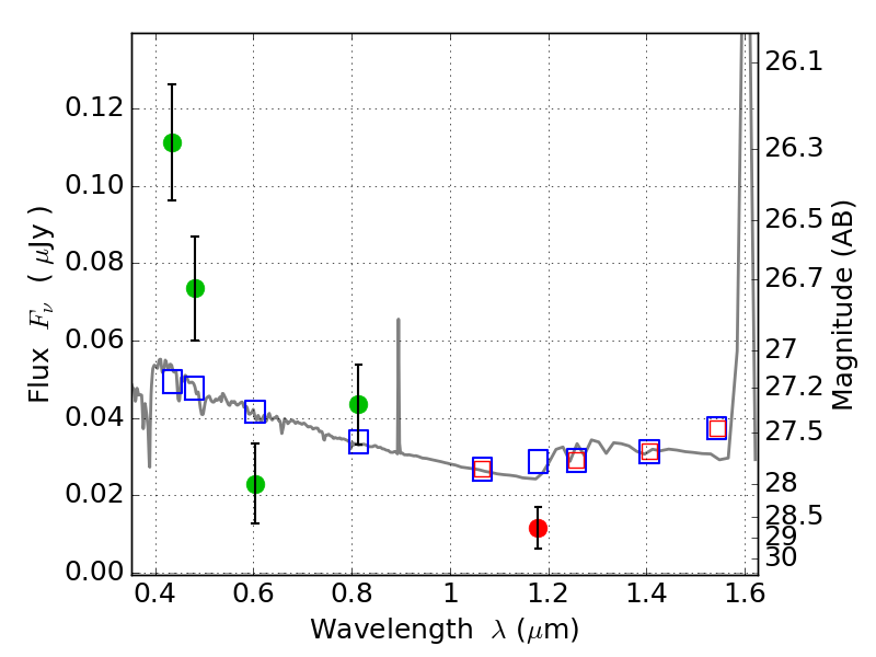
PLCKG287+32 ACS+IR detection object #2490

Color images and BPZ results
Catalog: 2490.cat
Black segments are analyzed here.   Roll mouse over color images to view segments.
Best viewed in a wide browser window (1200 pixels or more).   Download SED & P(z) plots to view larger versions.
In P(z) plots: Yellow lines mark the cluster redshift z = 0.390,  

Object #2490   x,y = (1516, 3364)   RA, Dec = (11:50:55.848, -28:04:13.80) = (177.73270, -28.07050)   BPZ = 2.204 [1.511--2.674]   type = 11.00 (SB11_A_0_l)   stellarity = 0.00   chisq2 = 15.17   ODDS = 0.44   z_cluster = 0.390