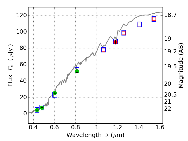
PLCKG287+32 ACS+IR detection object #1805

Color images and BPZ results
Catalog: 1805.cat
Black segments are analyzed here.   Roll mouse over color images to view segments.
Best viewed in a wide browser window (1200 pixels or more).   Download SED & P(z) plots to view larger versions.
In P(z) plots: Yellow lines mark the cluster redshift z = 0.390,  

Object #1805   x,y = (3923, 3687)   RA, Dec = (11:50:44.928, -28:03:54.36) = (177.68720, -28.06510)   BPZ = 0.366 [0.256--0.391]   type = 3.80 (Ell4_A_0 - Ell5_A_0)   stellarity = 0.03   chisq2 = 0.07   ODDS = 0.77   z_cluster = 0.390