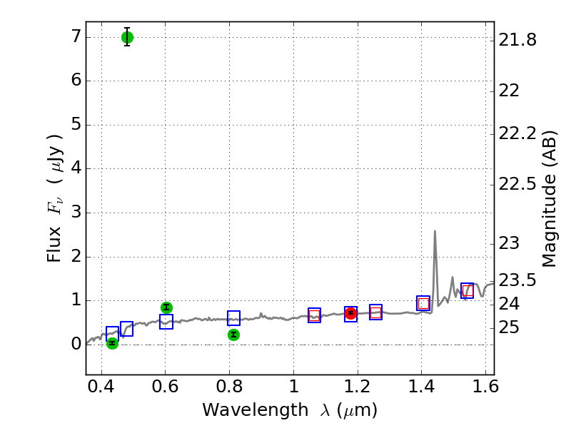
PLCKG287+32 ACS+IR detection object #1802

Color images and BPZ results
Catalog: 1802.cat
Black segments are analyzed here.   Roll mouse over color images to view segments.
Best viewed in a wide browser window (1200 pixels or more).   Download SED & P(z) plots to view larger versions.
In P(z) plots: Yellow lines mark the cluster redshift z = 0.390,  

Object #1802   x,y = (3982, 3698)   RA, Dec = (11:50:44.664, -28:03:53.64) = (177.68610, -28.06490)   BPZ = 2.873 [2.663--3.601]   type = 9.00 (SB2_B10)   stellarity = 0.94   chisq2 = 454.39   ODDS = 0.87   z_cluster = 0.390