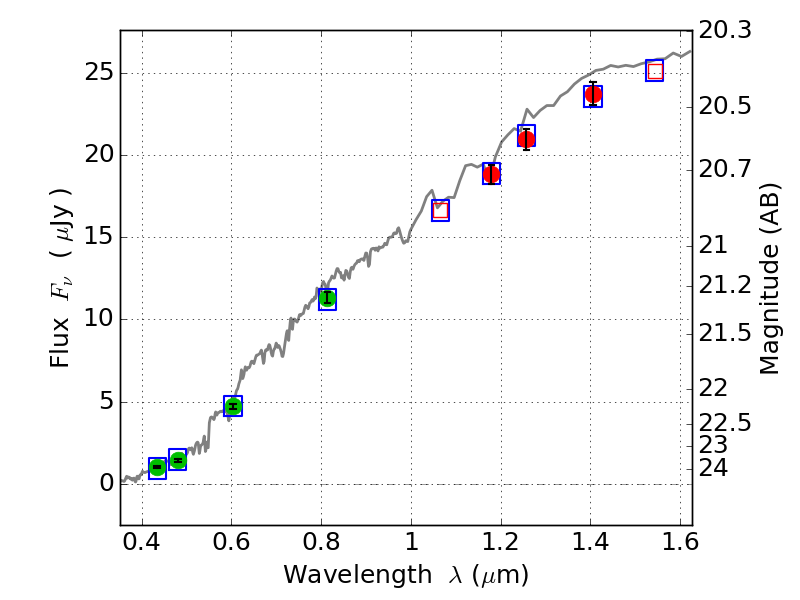
PLCKG287+32 ACS+IR detection object #1583

Color images and BPZ results
Catalog: 1583.cat
Black segments are analyzed here.   Roll mouse over color images to view segments.
Best viewed in a wide browser window (1200 pixels or more).   Download SED & P(z) plots to view larger versions.
In P(z) plots: Yellow lines mark the cluster redshift z = 0.390,  

Object #1583   x,y = (3310, 3951)   RA, Dec = (11:50:47.712, -28:03:38.52) = (177.69880, -28.06070)   BPZ = 0.378 [0.317--0.420]   type = 3.40 (Ell5_A_0 - Ell4_A_0)   stellarity = 0.03   chisq2 = 0.01   ODDS = 0.96   z_cluster = 0.390