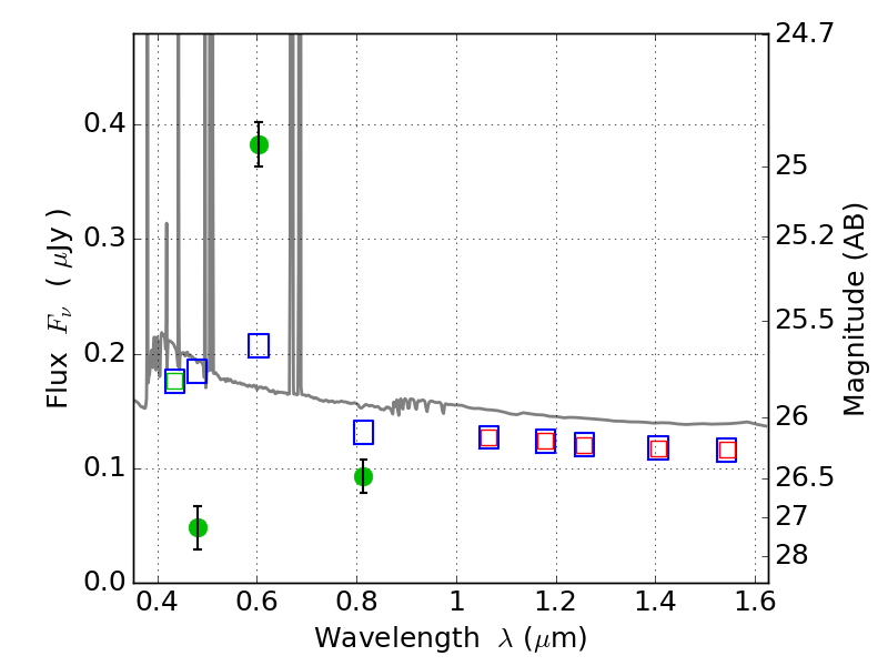
PLCKG287+32 ACS+IR detection object #142

Color images and BPZ results
Catalog: 142.cat
Black segments are analyzed here.   Roll mouse over color images to view segments.
Best viewed in a wide browser window (1200 pixels or more).   Download SED & P(z) plots to view larger versions.
In P(z) plots: Yellow lines mark the cluster redshift z = 0.390,  

Object #142   x,y = (2982, 4746)   RA, Dec = (11:50:49.200, -28:02:50.64) = (177.70500, -28.04740)   BPZ = 0.017 [0.010--0.053]   type = 11.00 (SB11_A_0_l)   stellarity = 0.97   chisq2 = 92.14   ODDS = 0.98   z_cluster = 0.390