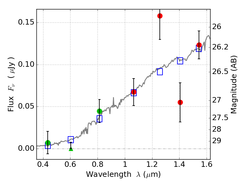
PLCKG209+10 IR detection object #890

Color images and BPZ results
Catalog: 890.cat
Black segments are analyzed here.   Roll mouse over color images to view segments.
Best viewed in a wide browser window (1200 pixels or more).   Download SED & P(z) plots to view larger versions.
In P(z) plots: Yellow lines mark the cluster redshift z = 0.677,  

Object #890   x,y = (1922, 2187)   RA, Dec = (07:22:25.536, 07:24:13.32) = (110.60640, 7.40370)   BPZ = 0.829 [0.547--5.948]   type = 6.00 (Sbc_B10)   stellarity = 0.00   chisq2 = 2.65   ODDS = 0.19   z_cluster = 0.677