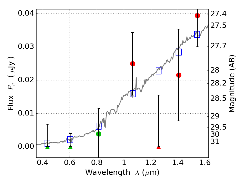
PLCKG209+10 IR detection object #125

Color images and BPZ results
Catalog: 125.cat
Black segments are analyzed here.   Roll mouse over color images to view segments.
Best viewed in a wide browser window (1200 pixels or more).   Download SED & P(z) plots to view larger versions.
In P(z) plots: Yellow lines mark the cluster redshift z = 0.677,  

Object #125   x,y = (2926, 3420)   RA, Dec = (07:22:21.480, 07:25:27.12) = (110.58950, 7.42420)   BPZ = 1.185 [0.588--7.898]   type = 6.00 (Sbc_B10)   stellarity = 0.08   chisq2 = 0.97   ODDS = 0.10   z_cluster = 0.677