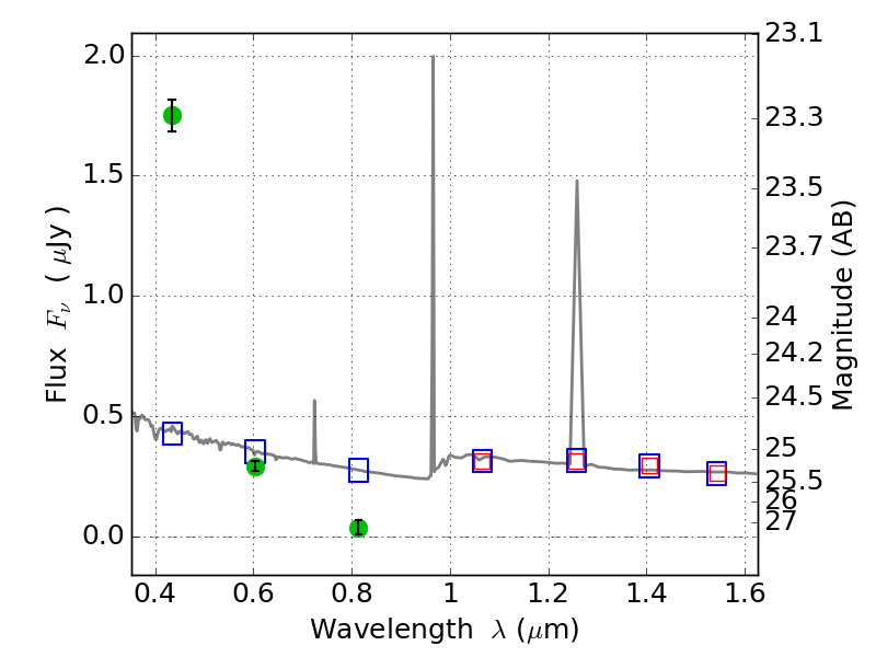
PLCKG209+10 ACS+IR detection object #3840

Color images and BPZ results
Catalog: 3840.cat
Black segments are analyzed here.   Roll mouse over color images to view segments.
Best viewed in a wide browser window (1200 pixels or more).   Download SED & P(z) plots to view larger versions.
In P(z) plots: Yellow lines mark the cluster redshift z = 0.677,  

Object #3840   x,y = (4327, 1768)   RA, Dec = (07:22:15.840, 07:23:48.12) = (110.56600, 7.39670)   BPZ = 1.592 [1.428--2.075]   type = 11.00 (SB11_A_0_l)   stellarity = 0.91   chisq2 = 362.08   ODDS = 0.66   z_cluster = 0.677